1. ホーム >
  2. 発明協会の表彰事業 >
  3. 全国発明表彰 >
  4. 受賞者の発表 >
  5. 受賞発明・意匠概要

発明協会の表彰事業

令和7年度全国発明表彰 受賞発明・意匠概要(敬称略)
第一表彰区分一覧へ第二表彰区分一覧へ

日本弁理士会会長賞
耐熱性・耐湿性を発現する低温硬化接着剤の発明(特許第5923472号)
熊野  岳
四国化成工業株式会社 研究開発本部 機能材料開発部 部長
武田 琢磨
四国化成工業株式会社 研究開発本部 機能材料開発部 課長
溝部  昇
四国化成工業株式会社 執行役員 生産・技術本部 徳島工場長

発明実施功績賞
濱﨑  誠
四国化成工業株式会社 代表取締役社長

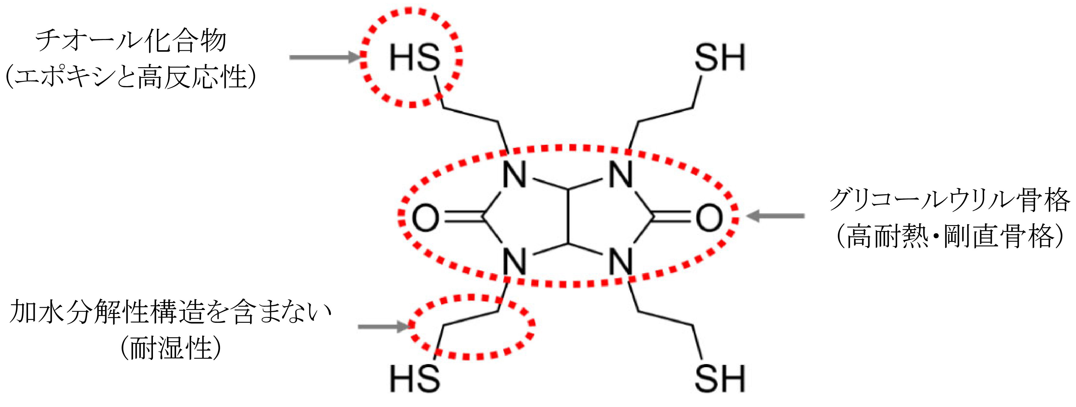
 本発明は、エポキシ樹脂の硬化剤として新規なメルカプトアルキルグリコールウリル類を使用した、耐熱性・耐湿性を発現する低温硬化接着剤に関するものである。
 電子材料用高機能接着剤に使用されるエポキシ樹脂は、環境負荷低減のため、(1)100℃未満の低温条件で硬化・成形が可能であること、(2)硬化・成形物が高い耐熱性、耐湿性を有することが求められていた。これらの課題を解決するため、エポキシ樹脂の硬化剤として、機械的・熱的(分解温度:250℃以上)に極めて安定で、かつ4つの官能基を持つグリコールウリル骨格を中心構造とし、加水分解性の構造を含まず、チオール基を備えた新規なメルカプトアルキルグリコールウリル類を見出した。
 本発明を使用することで、150℃以上の高温条件下では変形・不具合が発生してしまう電子部品を搭載する新たなデバイスの設計が可能となり、電気機器分野での産業の発展に貢献した。


図1 メルカプトアルキルグリコールウリル類の構造説明図
図2 耐湿性の比較


前へ / 次へ